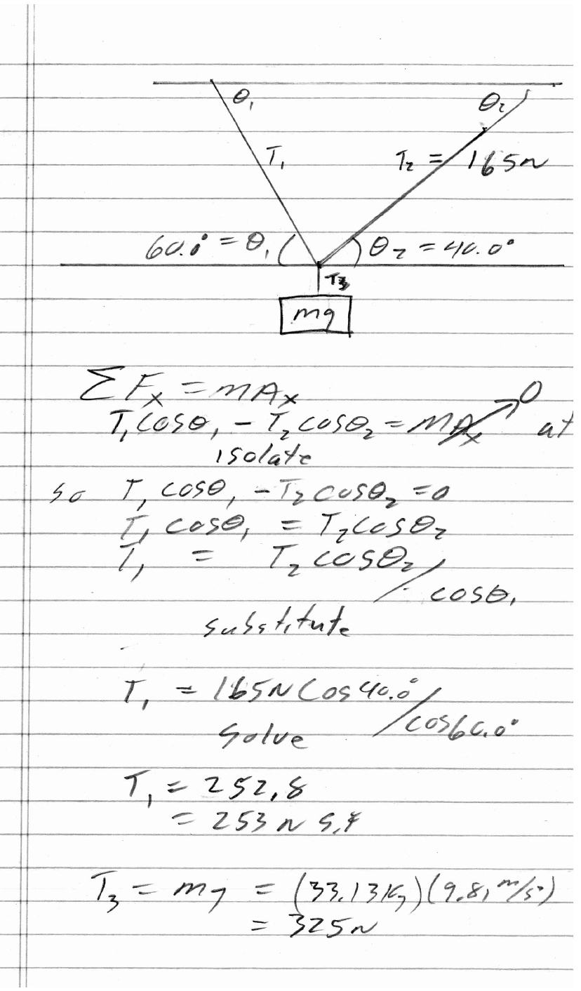
A Reasonable Hanger Problem
A bag of cement with a mass of 33.13 kg hangs at equilibrium (!!!!!) from three massless wires as shown. Angle 1 is 60.0 degrees to the horizontal and angle 2 is 40.0 degrees with the horizontal. T2 is 165N. Find the tension in wires T1 and T3.

ANSWER:
