OPENING QUESTIONS:
First, what are some of the most important formulas and concepts that you recall regarding Gaussian surfaces?
What are the key differences between a conducting sphere, and one that is an insulator? What are the key similarities?
Think back to electric flux: what does it signify, and what are all of the different permutations that can be used to find it?
OBJECTIVES:
-
I will be able to describe the types of charge and the attraction and repulsion of charges.
-
I will be able to calculate the charge of the surface of a given shape (sphere, cylinder, etc.), given the charge density
-
I will be able to calculate the flux of an electric field through an arbitrary surface or of a field uniform in magnitude over a Gaussian surface and perpendicular to it.
-
I will be able to describe qualitatively the patterns and variation with distance of the electric field of a uniformly-charged spherical shell.
WORDS FOR TODAY:
Electric Field: Surrounds an electric charge and exerts a force on surrounding charges
Electric Potential: The difference in potential energy per unit charge between two locations in an electric field
Electric Flux: Rate of flow of an electric field through a given area
FORMULAE:
-
Ε0 = 8.85 x 10-12 C2/Nm2
-
q(enc)=ρv
-
Φ=EA
-
Φ = qin/εo
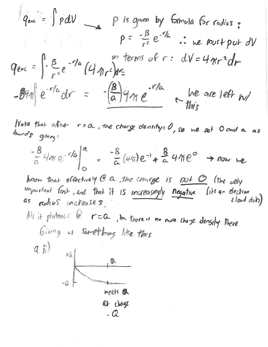
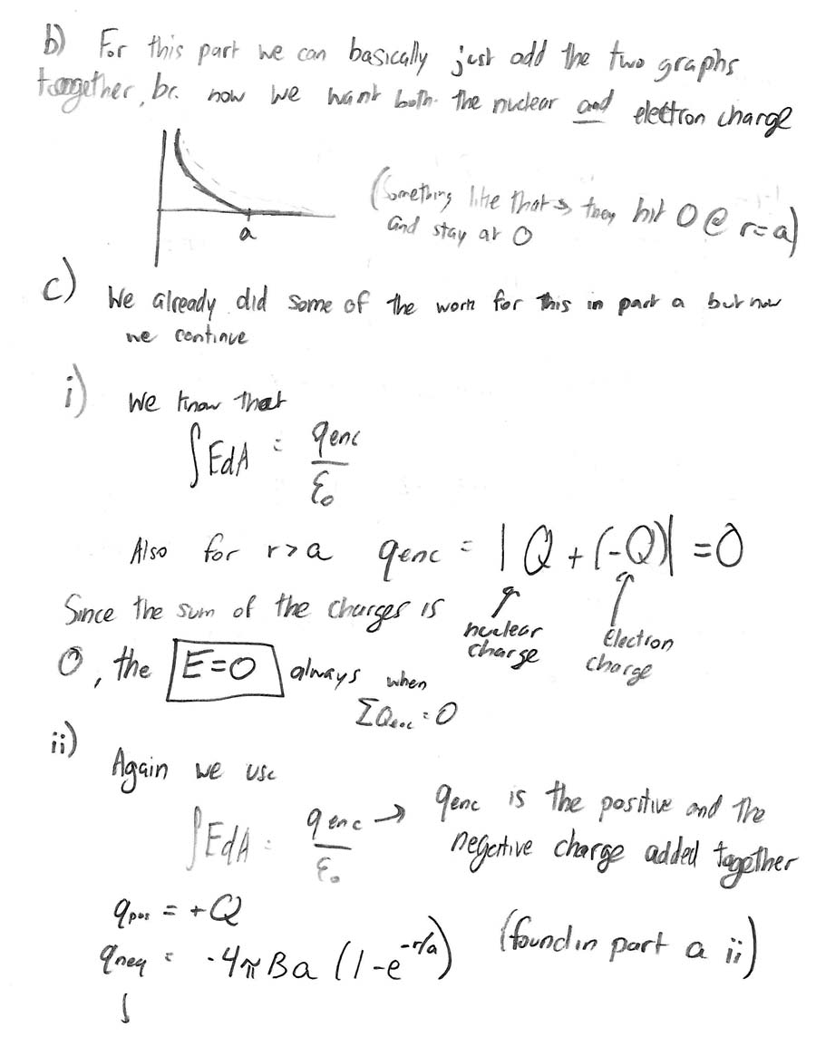
WORK O' THE DAY:






